
Libro Algebra Lineal Y Geometria Vectorial PDF ePub ... 😈
Libro Algebra Lineal Y Geometria Vectorial PDF ePub ... 😈
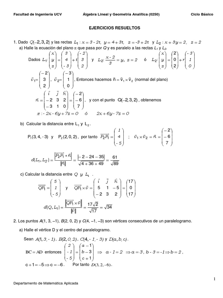
Ejercicios Resueltos 2 algebra lineal vectores en r2 y r3 ... 😈
Libro Algebra Lineal Y Geometria Vectorial PDF ePub ... 😈
aLGEBRA LINEAL Y GEOMETRiA VECTORIAL novedad curso 2015 ... 😈
[Descargar] Matematicas Superiores Elementos de Algebra ... 😈
[Descargar] Elementos de álgebra lineal y geometría – UOC ... 😈
Libro Algebra Lineal Y Geometria Vectorial PDF ePub ... 😈
Álgebra Lineal y Geometría / AvaxHome 😈
[Descargar] Ágebra Lineal y Geometría Vectorial en PDF ... 😈
UTN Álgebra y Geometría Analítica | Mapa lineal | Matriz ... 😈
17 Best images about Algebra Lineal on Pinterest | Mesas ... 😈
GEOMETRÍA ANALITICA VECTORIAL Y ALGEBRA LINEAL.pdf ... 😈
Formulario de Geometría PDF 😈
Los libros e más usados en la Biblioteca Politécnica ... 😈
GEOMETRIA PLANA I ALGEBRA LINEAL : Agapea Libros Urgentes 😈
Editorial Sanz y Torres Álgebra Lineal y Geometría ... 😈
Algebra lineal y geometría | Ángel Rafael Larrotonda ... 😈
ALGEBRA LINEAL Y SUS APLICACIONES DAVID LAY PDF 😈
Libro Algebra Lineal Y Geometria PDF ePub LibrosPub 😈
Geometria Analítica e Álgebra Linear exame parte 1 ... 😈
64 FREE TUTORIAL INFO GEOMETRIA Y ALGEBRA LINEAL PDF DOC 2019 😈
Libro Algebra Lineal Y Geometria PDF ePub LibrosPub 😈
Libro Algebra Lineal Y Geometria Vectorial PDF ePub ... 😈
64 FREE TUTORIAL INFO GEOMETRIA Y ALGEBRA LINEAL PDF DOC 2019 😈
OpenLibra | Sistemas de ecuaciones lineales 😈
Biblioteca de ebooks V2.0: Algebra Lineal y Geometria ... 😈
Algebra Lineal y Geometria Analitica | Grupo Matemáticas ... 😈
GEOMETRIA ANALITICA PLANA 😈
Libro Algebra Lineal Y Geometria PDF ePub LibrosPub 😈
Geometria Analítica e Algebra Linear lista 1 resolvida ... 😈
Álgebra lineal y geometría – J. Sancho San Román ... 😈
ELON LAGES Geometria analitica e algebra linear Baixar ... 😈
Algebra Lineal y Geometria Analitica 2014 | Ecuaciones ... 😈
3con14 Matemáticas E · Álgebra I [Fórmulas] 😈
Libro ALGEBRA Y GEOMETRIA LINEAL Libros Técnicos online ... 😈
Libro Algebra Lineal Y Geometria Vectorial PDF ePub ... 😈
PDF Álgebra lineal y geometría para la ingeniería 😈
Algebra lineal y sus aplicaciones david c. lay 3ed 😈
Biblioteca de ebooks V2.0: Álgebra Lineal Stanley ... 😈
PDF Nociones De Geometría Analítica Y Álgebra Lineal ... 😈
Librotecarios: Álgebra lineal y sus aplicaciones Lay 4a ... 😈
ALGEBRA LINEAL GROSSMAN 6 EDICION PDF 😈
Livro Álgebra Linear e Geometria Analítica Matemática ... 😈
Álgebra lineal, 7ma Edición – Stanley I. Grossman ... 😈
PDF 300 Problemas De Álgebra Lineal Y Geometría Andrés ... 😈
ALGEBRA Y GEOMETRIA LINEAL : Agapea Libros Urgentes 😈
Álgebra lineal – Fernando Barrera Mora 😈
Principios de Geometría Analítica y Álgebra Lineal | Luis ... 😈
Download Algebra lineal y geometria cartesiana/ Linear ... 😈
Algebra Lineal Fundamentos y Aplicaciones Bernard Kolman ... 😈